A Discrete-Event Network Simulator
API
ns3::ThreeLogDistancePropagationLossModel Class Reference

A log distance path loss propagation model with three distance fields. More...

#include "propagation-loss-model.h"

+ Inheritance diagram for ns3::ThreeLogDistancePropagationLossModel:
+ Collaboration diagram for ns3::ThreeLogDistancePropagationLossModel:

Public Member Functions

 ThreeLogDistancePropagationLossModel ()
 
 ThreeLogDistancePropagationLossModel (const ThreeLogDistancePropagationLossModel &)=delete
 
ThreeLogDistancePropagationLossModeloperator= (const ThreeLogDistancePropagationLossModel &)=delete
 
- Public Member Functions inherited from ns3::PropagationLossModel
 PropagationLossModel ()
 
 PropagationLossModel (const PropagationLossModel &)=delete
 
virtual ~PropagationLossModel ()
 
int64_t AssignStreams (int64_t stream)
 If this loss model uses objects of type RandomVariableStream, set the stream numbers to the integers starting with the offset 'stream'. More...
 
double CalcRxPower (double txPowerDbm, Ptr< MobilityModel > a, Ptr< MobilityModel > b) const
 Returns the Rx Power taking into account all the PropagationLossModel(s) chained to the current one. More...
 
Ptr< PropagationLossModelGetNext ()
 Gets the next PropagationLossModel in the chain of loss models that act on the signal. More...
 
PropagationLossModeloperator= (const PropagationLossModel &)=delete
 
void SetNext (Ptr< PropagationLossModel > next)
 Enables a chain of loss models to act on the signal. More...
 
- Public Member Functions inherited from ns3::Object
 Object ()
 Constructor. More...
 
virtual ~Object ()
 Destructor. More...
 
void AggregateObject (Ptr< Object > other)
 Aggregate two Objects together. More...
 
void Dispose (void)
 Dispose of this Object. More...
 
AggregateIterator GetAggregateIterator (void) const
 Get an iterator to the Objects aggregated to this one. More...
 
virtual TypeId GetInstanceTypeId (void) const
 Get the most derived TypeId for this Object. More...
 
template<>
Ptr< ObjectGetObject () const
 Specialization of () for objects of type ns3::Object. More...
 
template<typename T >
Ptr< T > GetObject (TypeId tid) const
 Get a pointer to the requested aggregated Object by TypeId. More...
 
template<>
Ptr< ObjectGetObject (TypeId tid) const
 Specialization of (TypeId tid) for objects of type ns3::Object. More...
 
template<typename T >
Ptr< T > GetObject (void) const
 Get a pointer to the requested aggregated Object. More...
 
void Initialize (void)
 Invoke DoInitialize on all Objects aggregated to this one. More...
 
bool IsInitialized (void) const
 Check if the object has been initialized. More...
 
- Public Member Functions inherited from ns3::SimpleRefCount< Object, ObjectBase, ObjectDeleter >
 SimpleRefCount ()
 Default constructor. More...
 
 SimpleRefCount (const SimpleRefCount &o[[maybe_unused]])
 Copy constructor. More...
 
uint32_t GetReferenceCount (void) const
 Get the reference count of the object. More...
 
SimpleRefCountoperator= ([[maybe_unused]] const SimpleRefCount &o)
 Assignment operator. More...
 
void Ref (void) const
 Increment the reference count. More...
 
void Unref (void) const
 Decrement the reference count. More...
 
- Public Member Functions inherited from ns3::ObjectBase
virtual ~ObjectBase ()
 Virtual destructor. More...
 
void GetAttribute (std::string name, AttributeValue &value) const
 Get the value of an attribute, raising fatal errors if unsuccessful. More...
 
bool GetAttributeFailSafe (std::string name, AttributeValue &value) const
 Get the value of an attribute without raising erros. More...
 
void SetAttribute (std::string name, const AttributeValue &value)
 Set a single attribute, raising fatal errors if unsuccessful. More...
 
bool SetAttributeFailSafe (std::string name, const AttributeValue &value)
 Set a single attribute without raising errors. More...
 
bool TraceConnect (std::string name, std::string context, const CallbackBase &cb)
 Connect a TraceSource to a Callback with a context. More...
 
bool TraceConnectWithoutContext (std::string name, const CallbackBase &cb)
 Connect a TraceSource to a Callback without a context. More...
 
bool TraceDisconnect (std::string name, std::string context, const CallbackBase &cb)
 Disconnect from a TraceSource a Callback previously connected with a context. More...
 
bool TraceDisconnectWithoutContext (std::string name, const CallbackBase &cb)
 Disconnect from a TraceSource a Callback previously connected without a context. More...
 

Static Public Member Functions

static TypeId GetTypeId (void)
 Get the type ID. More...
 
- Static Public Member Functions inherited from ns3::PropagationLossModel
static TypeId GetTypeId (void)
 Get the type ID. More...
 
- Static Public Member Functions inherited from ns3::Object
static TypeId GetTypeId (void)
 Register this type. More...
 
- Static Public Member Functions inherited from ns3::ObjectBase
static TypeId GetTypeId (void)
 Get the type ID. More...
 

Private Member Functions

int64_t DoAssignStreams (int64_t stream) override
 Assign a fixed random variable stream number to the random variables used by this model. More...
 
double DoCalcRxPower (double txPowerDbm, Ptr< MobilityModel > a, Ptr< MobilityModel > b) const override
 PropagationLossModel. More...
 

Private Attributes

double m_distance0
 Beginning of the first (near) distance field. More...
 
double m_distance1
 Beginning of the second (middle) distance field. More...
 
double m_distance2
 Beginning of the third (far) distance field. More...
 
double m_exponent0
 The exponent for the first field. More...
 
double m_exponent1
 The exponent for the second field. More...
 
double m_exponent2
 The exponent for the third field. More...
 
double m_referenceLoss
 The reference loss at distance d0 (dB). More...
 

Additional Inherited Members

- Protected Member Functions inherited from ns3::Object
 Object (const Object &o)
 Copy an Object. More...
 
virtual void DoDispose (void)
 Destructor implementation. More...
 
virtual void DoInitialize (void)
 Initialize() implementation. More...
 
virtual void NotifyNewAggregate (void)
 Notify all Objects aggregated to this one of a new Object being aggregated. More...
 
- Protected Member Functions inherited from ns3::ObjectBase
void ConstructSelf (const AttributeConstructionList &attributes)
 Complete construction of ObjectBase; invoked by derived classes. More...
 
virtual void NotifyConstructionCompleted (void)
 Notifier called once the ObjectBase is fully constructed. More...
 

Detailed Description

A log distance path loss propagation model with three distance fields.

This model is the same as ns3::LogDistancePropagationLossModel except that it has three distance fields: near, middle and far with different exponents.

Within each field the reception power is calculated using the log-distance propagation equation:

\[ L = L_0 + 10 \cdot n_0 log_{10}(\frac{d}{d_0})\]

Each field begins where the previous ends and all together form a continuous function.

There are three valid distance fields: near, middle, far. Actually four: the first from 0 to the reference distance is invalid and returns txPowerDbm.

\[ \underbrace{0 \cdots\cdots}_{=0} \underbrace{d_0 \cdots\cdots}_{n_0} \underbrace{d_1 \cdots\cdots}_{n_1} \underbrace{d_2 \cdots\cdots}_{n_2} \infty \]

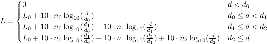
Complete formula for the path loss in dB:

\[\displaystyle L = \begin{cases} 0 & d < d_0 \\ L_0 + 10 \cdot n_0 \log_{10}(\frac{d}{d_0}) & d_0 \leq d < d_1 \\ L_0 + 10 \cdot n_0 \log_{10}(\frac{d_1}{d_0}) + 10 \cdot n_1 \log_{10}(\frac{d}{d_1}) & d_1 \leq d < d_2 \\ L_0 + 10 \cdot n_0 \log_{10}(\frac{d_1}{d_0}) + 10 \cdot n_1 \log_{10}(\frac{d_2}{d_1}) + 10 \cdot n_2 \log_{10}(\frac{d}{d_2})& d_2 \leq d \end{cases}\]

where:

  • $ L $ : resulting path loss (dB)
  • $ d $ : distance (m)
  • $ d_0, d_1, d_2 $ : three distance fields (m)
  • $ n_0, n_1, n_2 $ : path loss distance exponent for each field (unitless)
  • $ L_0 $ : path loss at reference distance (dB)

When the path loss is requested at a distance smaller than the reference distance $ d_0 $, the tx power (with no path loss) is returned. The reference distance defaults to 1m and reference loss defaults to ns3::FriisPropagationLossModel with 5.15 GHz and is thus $ L_0 $ = 46.67 dB.

Config Paths

ns3::ThreeLogDistancePropagationLossModel is accessible through the following paths with Config::Set and Config::Connect:

  • "/NodeList/[i]/DeviceList/[i]/$ns3::WifiNetDevice/Channel/$ns3::SpectrumChannel/PropagationLossModel/$ns3::ThreeLogDistancePropagationLossModel"
  • "/NodeList/[i]/DeviceList/[i]/$ns3::WifiNetDevice/Channel/$ns3::YansWifiChannel/PropagationLossModel/$ns3::ThreeLogDistancePropagationLossModel"
  • "/NodeList/[i]/DeviceList/[i]/$ns3::WaveNetDevice/Channel/$ns3::SpectrumChannel/PropagationLossModel/$ns3::ThreeLogDistancePropagationLossModel"
  • "/NodeList/[i]/DeviceList/[i]/$ns3::WaveNetDevice/Channel/$ns3::YansWifiChannel/PropagationLossModel/$ns3::ThreeLogDistancePropagationLossModel"
  • "/NodeList/[i]/DeviceList/[i]/$ns3::LrWpanNetDevice/Channel/PropagationLossModel/$ns3::ThreeLogDistancePropagationLossModel"
  • "/ChannelList/[i]/$ns3::SpectrumChannel/PropagationLossModel/$ns3::ThreeLogDistancePropagationLossModel"
  • "/ChannelList/[i]/$ns3::YansWifiChannel/PropagationLossModel/$ns3::ThreeLogDistancePropagationLossModel"

Attributes

  • Distance0: Beginning of the first (near) distance field
    • Set with class: ns3::DoubleValue
    • Underlying type: double -1.79769e+308:1.79769e+308
    • Initial value: 1
    • Flags: construct write read
  • Distance1: Beginning of the second (middle) distance field.
    • Set with class: ns3::DoubleValue
    • Underlying type: double -1.79769e+308:1.79769e+308
    • Initial value: 200
    • Flags: construct write read
  • Distance2: Beginning of the third (far) distance field.
    • Set with class: ns3::DoubleValue
    • Underlying type: double -1.79769e+308:1.79769e+308
    • Initial value: 500
    • Flags: construct write read
  • Exponent0: The exponent for the first field.
    • Set with class: ns3::DoubleValue
    • Underlying type: double -1.79769e+308:1.79769e+308
    • Initial value: 1.9
    • Flags: construct write read
  • Exponent1: The exponent for the second field.
    • Set with class: ns3::DoubleValue
    • Underlying type: double -1.79769e+308:1.79769e+308
    • Initial value: 3.8
    • Flags: construct write read
  • Exponent2: The exponent for the third field.
    • Set with class: ns3::DoubleValue
    • Underlying type: double -1.79769e+308:1.79769e+308
    • Initial value: 3.8
    • Flags: construct write read
  • ReferenceLoss: The reference loss at distance d0 (dB). (Default is Friis at 1m with 5.15 GHz)
    • Set with class: ns3::DoubleValue
    • Underlying type: double -1.79769e+308:1.79769e+308
    • Initial value: 46.6777
    • Flags: construct write read

No TraceSources are defined for this type.
Size of this type is 96 bytes (on a 64-bit architecture).

Definition at line 549 of file propagation-loss-model.h.

Constructor & Destructor Documentation

◆ ThreeLogDistancePropagationLossModel() [1/2]

ns3::ThreeLogDistancePropagationLossModel::ThreeLogDistancePropagationLossModel ( )

Definition at line 594 of file propagation-loss-model.cc.

◆ ThreeLogDistancePropagationLossModel() [2/2]

ns3::ThreeLogDistancePropagationLossModel::ThreeLogDistancePropagationLossModel ( const ThreeLogDistancePropagationLossModel )
delete

Member Function Documentation

◆ DoAssignStreams()

int64_t ns3::ThreeLogDistancePropagationLossModel::DoAssignStreams ( int64_t  stream)
overrideprivatevirtual

Assign a fixed random variable stream number to the random variables used by this model.

Subclasses must implement this; those not using random variables can return zero.

Parameters
streamfirst stream index to use
Returns
the number of stream indices assigned by this model

Implements ns3::PropagationLossModel.

Definition at line 640 of file propagation-loss-model.cc.

◆ DoCalcRxPower()

double ns3::ThreeLogDistancePropagationLossModel::DoCalcRxPower ( double  txPowerDbm,
Ptr< MobilityModel a,
Ptr< MobilityModel b 
) const
overrideprivatevirtual

PropagationLossModel.

Parameters
txPowerDbmcurrent transmission power (in dBm)
athe mobility model of the source
bthe mobility model of the destination
Returns
the reception power after adding/multiplying propagation loss (in dBm)

Implements ns3::PropagationLossModel.

Definition at line 599 of file propagation-loss-model.cc.

References ns3::MobilityModel::GetDistanceFrom(), m_distance0, m_distance1, m_distance2, m_exponent0, m_exponent1, m_exponent2, m_referenceLoss, NS_ASSERT, and NS_LOG_DEBUG.

+ Here is the call graph for this function:

◆ GetTypeId()

TypeId ns3::ThreeLogDistancePropagationLossModel::GetTypeId ( void  )
static

Get the type ID.

Returns
the object TypeId

Definition at line 548 of file propagation-loss-model.cc.

References m_distance0, m_distance1, m_distance2, m_exponent0, m_exponent1, m_exponent2, m_referenceLoss, ns3::MakeDoubleAccessor(), and ns3::TypeId::SetParent().

+ Here is the call graph for this function:

◆ operator=()

ThreeLogDistancePropagationLossModel& ns3::ThreeLogDistancePropagationLossModel::operator= ( const ThreeLogDistancePropagationLossModel )
delete

Member Data Documentation

◆ m_distance0

double ns3::ThreeLogDistancePropagationLossModel::m_distance0
private

Beginning of the first (near) distance field.

Definition at line 572 of file propagation-loss-model.h.

Referenced by DoCalcRxPower(), and GetTypeId().

◆ m_distance1

double ns3::ThreeLogDistancePropagationLossModel::m_distance1
private

Beginning of the second (middle) distance field.

Definition at line 573 of file propagation-loss-model.h.

Referenced by DoCalcRxPower(), and GetTypeId().

◆ m_distance2

double ns3::ThreeLogDistancePropagationLossModel::m_distance2
private

Beginning of the third (far) distance field.

Definition at line 574 of file propagation-loss-model.h.

Referenced by DoCalcRxPower(), and GetTypeId().

◆ m_exponent0

double ns3::ThreeLogDistancePropagationLossModel::m_exponent0
private

The exponent for the first field.

Definition at line 576 of file propagation-loss-model.h.

Referenced by DoCalcRxPower(), and GetTypeId().

◆ m_exponent1

double ns3::ThreeLogDistancePropagationLossModel::m_exponent1
private

The exponent for the second field.

Definition at line 577 of file propagation-loss-model.h.

Referenced by DoCalcRxPower(), and GetTypeId().

◆ m_exponent2

double ns3::ThreeLogDistancePropagationLossModel::m_exponent2
private

The exponent for the third field.

Definition at line 578 of file propagation-loss-model.h.

Referenced by DoCalcRxPower(), and GetTypeId().

◆ m_referenceLoss

double ns3::ThreeLogDistancePropagationLossModel::m_referenceLoss
private

The reference loss at distance d0 (dB).

Definition at line 580 of file propagation-loss-model.h.

Referenced by DoCalcRxPower(), and GetTypeId().


The documentation for this class was generated from the following files: