A Discrete-Event Network Simulator
API
ns3::JakesProcess Class Reference

Implementation for a single path Stationary Jakes propagation loss model. More...

#include "jakes-process.h"

+ Inheritance diagram for ns3::JakesProcess:
+ Collaboration diagram for ns3::JakesProcess:

Classes

struct  Oscillator
 This class Represents a single oscillator. More...
 

Public Member Functions

 JakesProcess ()
 
virtual ~JakesProcess ()
 
virtual void DoDispose ()
 Destructor implementation. More...
 
double GetChannelGainDb () const
 Get the channel gain in dB. More...
 
std::complex< double > GetComplexGain () const
 Get the channel complex gain. More...
 
void SetPropagationLossModel (Ptr< const PropagationLossModel > model)
 Set the propagation model using this class. More...
 
- Public Member Functions inherited from ns3::Object
 Object ()
 Constructor. More...
 
virtual ~Object ()
 Destructor. More...
 
void AggregateObject (Ptr< Object > other)
 Aggregate two Objects together. More...
 
void Dispose (void)
 Dispose of this Object. More...
 
AggregateIterator GetAggregateIterator (void) const
 Get an iterator to the Objects aggregated to this one. More...
 
virtual TypeId GetInstanceTypeId (void) const
 Get the most derived TypeId for this Object. More...
 
template<>
Ptr< ObjectGetObject () const
 Specialization of () for objects of type ns3::Object. More...
 
template<typename T >
Ptr< T > GetObject (TypeId tid) const
 Get a pointer to the requested aggregated Object by TypeId. More...
 
template<>
Ptr< ObjectGetObject (TypeId tid) const
 Specialization of (TypeId tid) for objects of type ns3::Object. More...
 
template<typename T >
Ptr< T > GetObject (void) const
 Get a pointer to the requested aggregated Object. More...
 
void Initialize (void)
 Invoke DoInitialize on all Objects aggregated to this one. More...
 
bool IsInitialized (void) const
 Check if the object has been initialized. More...
 
- Public Member Functions inherited from ns3::SimpleRefCount< Object, ObjectBase, ObjectDeleter >
 SimpleRefCount ()
 Default constructor. More...
 
 SimpleRefCount (const SimpleRefCount &o[[maybe_unused]])
 Copy constructor. More...
 
uint32_t GetReferenceCount (void) const
 Get the reference count of the object. More...
 
SimpleRefCountoperator= ([[maybe_unused]] const SimpleRefCount &o)
 Assignment operator. More...
 
void Ref (void) const
 Increment the reference count. More...
 
void Unref (void) const
 Decrement the reference count. More...
 
- Public Member Functions inherited from ns3::ObjectBase
virtual ~ObjectBase ()
 Virtual destructor. More...
 
void GetAttribute (std::string name, AttributeValue &value) const
 Get the value of an attribute, raising fatal errors if unsuccessful. More...
 
bool GetAttributeFailSafe (std::string name, AttributeValue &value) const
 Get the value of an attribute without raising erros. More...
 
void SetAttribute (std::string name, const AttributeValue &value)
 Set a single attribute, raising fatal errors if unsuccessful. More...
 
bool SetAttributeFailSafe (std::string name, const AttributeValue &value)
 Set a single attribute without raising errors. More...
 
bool TraceConnect (std::string name, std::string context, const CallbackBase &cb)
 Connect a TraceSource to a Callback with a context. More...
 
bool TraceConnectWithoutContext (std::string name, const CallbackBase &cb)
 Connect a TraceSource to a Callback without a context. More...
 
bool TraceDisconnect (std::string name, std::string context, const CallbackBase &cb)
 Disconnect from a TraceSource a Callback previously connected with a context. More...
 
bool TraceDisconnectWithoutContext (std::string name, const CallbackBase &cb)
 Disconnect from a TraceSource a Callback previously connected without a context. More...
 

Static Public Member Functions

static TypeId GetTypeId (void)
 Get the type ID. More...
 
- Static Public Member Functions inherited from ns3::Object
static TypeId GetTypeId (void)
 Register this type. More...
 
- Static Public Member Functions inherited from ns3::ObjectBase
static TypeId GetTypeId (void)
 Get the type ID. More...
 

Private Member Functions

void ConstructOscillators ()
 
void SetDopplerFrequencyHz (double dopplerFrequencyHz)
 Set the Doppler frequency. More...
 
void SetNOscillators (unsigned int nOscillators)
 Set the number of Oscillators to use. More...
 

Private Attributes

Ptr< const JakesPropagationLossModelm_jakes
 pointer to the propagation loss model More...
 
unsigned int m_nOscillators
 number of oscillators More...
 
double m_omegaDopplerMax
 max rotation speed Doppler frequency More...
 
std::vector< Oscillatorm_oscillators
 Vector of oscillators. More...
 
Ptr< UniformRandomVariablem_uniformVariable
 random stream More...
 

Additional Inherited Members

- Protected Member Functions inherited from ns3::Object
 Object (const Object &o)
 Copy an Object. More...
 
virtual void DoInitialize (void)
 Initialize() implementation. More...
 
virtual void NotifyNewAggregate (void)
 Notify all Objects aggregated to this one of a new Object being aggregated. More...
 
- Protected Member Functions inherited from ns3::ObjectBase
void ConstructSelf (const AttributeConstructionList &attributes)
 Complete construction of ObjectBase; invoked by derived classes. More...
 
virtual void NotifyConstructionCompleted (void)
 Notifier called once the ObjectBase is fully constructed. More...
 

Detailed Description

Implementation for a single path Stationary Jakes propagation loss model.

Introspection did not find any typical Config paths.

The Jakes propagation loss model implemented here is described in [1].

We consider one transmitter - receiver pair and calculate the complex coefficients for this case as follow:

\[ X(t)=X_c(t) + j X_s(t)\]

\[ X_c(t) = \frac{2}{\sqrt{M}}\sum_{n=1}^{M}\cos(\psi_n)\cos(\omega_d t\cos(\alpha_n)+\phi_n)\]

\[ X_s(t) = \frac{2}{\sqrt{M}}\sum_{n=1}^{M}\sin(\psi_n)\cos(\omega_d t\cos(\alpha_n)+\phi_n)\]

with

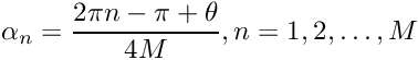
\[ \alpha_n = \frac{2\pi n - \pi + \theta}{4M}, n=1,2, \ldots,M\]

where $\theta$, $\phi$, and $\psi_n$ are statically independent and uniformly distributed over $[-\pi, \pi)$ for all $n$.

[1] Y. R. Zheng and C. Xiao, "Simulation Models With Correct Statistical Properties for Rayleigh Fading Channel", IEEE Trans. on Communications, Vol. 51, pp 920-928, June 2003


Attributes

  • DopplerFrequencyHz: Corresponding doppler frequency[Hz]
    • Set with class: ns3::DoubleValue
    • Underlying type: double 0:10000
    • Initial value: 80
    • Flags: construct write
  • NumberOfOscillators: The number of oscillators
    • Set with class: ns3::UintegerValue
    • Underlying type: uint32_t 4:1000
    • Initial value: 20
    • Flags: construct write

No TraceSources are defined for this type.
Size of this type is 88 bytes (on a 64-bit architecture).

Definition at line 55 of file jakes-process.h.

Constructor & Destructor Documentation

◆ JakesProcess()

ns3::JakesProcess::JakesProcess ( )

Definition at line 116 of file jakes-process.cc.

◆ ~JakesProcess()

ns3::JakesProcess::~JakesProcess ( )
virtual

Definition at line 122 of file jakes-process.cc.

References m_oscillators.

Member Function Documentation

◆ ConstructOscillators()

void ns3::JakesProcess::ConstructOscillators ( )
private
  1. Rotation speed 1a. Initiate

    \[ \alpha_n = \frac{2\pi n - \pi + \theta}{4M}, n=1,2, \ldots,M\]

    , n is oscillatorNumber, M is m_nOscillators

1b. Initiate rotation speed:

  1. Initiate complex amplitude:
  2. Construct oscillator:

Definition at line 93 of file jakes-process.cc.

References sample-rng-plot::alpha, m_jakes, m_nOscillators, m_omegaDopplerMax, m_oscillators, and NS_ASSERT.

Referenced by SetPropagationLossModel().

+ Here is the caller graph for this function:

◆ DoDispose()

void ns3::JakesProcess::DoDispose ( void  )
virtual

Destructor implementation.

This method is called by Dispose() or by the Object's destructor, whichever comes first.

Subclasses are expected to implement their real destruction code in an overridden version of this method and chain up to their parent's implementation once they are done. i.e, for simplicity, the destructor of every subclass should be empty and its content should be moved to the associated DoDispose() method.

It is safe to call GetObject() from within this method.

Reimplemented from ns3::Object.

Definition at line 128 of file jakes-process.cc.

References m_jakes.

◆ GetChannelGainDb()

double ns3::JakesProcess::GetChannelGainDb ( ) const

Get the channel gain in dB.

Returns
the channel gain [dB]

Definition at line 145 of file jakes-process.cc.

References GetComplexGain().

+ Here is the call graph for this function:

◆ GetComplexGain()

std::complex< double > ns3::JakesProcess::GetComplexGain ( ) const

Get the channel complex gain.

Returns
the channel complex gain

Definition at line 134 of file jakes-process.cc.

References m_oscillators, and ns3::Now().

Referenced by GetChannelGainDb().

+ Here is the call graph for this function:
+ Here is the caller graph for this function:

◆ GetTypeId()

TypeId ns3::JakesProcess::GetTypeId ( void  )
static

Get the type ID.

Returns
the object TypeId

Definition at line 49 of file jakes-process.cc.

References ns3::MakeDoubleAccessor(), ns3::MakeUintegerAccessor(), SetDopplerFrequencyHz(), SetNOscillators(), and ns3::TypeId::SetParent().

+ Here is the call graph for this function:

◆ SetDopplerFrequencyHz()

void ns3::JakesProcess::SetDopplerFrequencyHz ( double  dopplerFrequencyHz)
private

Set the Doppler frequency.

Parameters
dopplerFrequencyHzthe Doppler frequency [Hz]

Definition at line 87 of file jakes-process.cc.

References m_omegaDopplerMax.

Referenced by GetTypeId().

+ Here is the caller graph for this function:

◆ SetNOscillators()

void ns3::JakesProcess::SetNOscillators ( unsigned int  nOscillators)
private

Set the number of Oscillators to use.

Parameters
nOscillatorsthe number of oscillators

Definition at line 81 of file jakes-process.cc.

References m_nOscillators.

Referenced by GetTypeId().

+ Here is the caller graph for this function:

◆ SetPropagationLossModel()

void ns3::JakesProcess::SetPropagationLossModel ( Ptr< const PropagationLossModel model)

Set the propagation model using this class.

Parameters
modelthe propagation model using this class

Definition at line 68 of file jakes-process.cc.

References ConstructOscillators(), m_jakes, m_nOscillators, m_omegaDopplerMax, NS_ASSERT, and NS_ASSERT_MSG.

+ Here is the call graph for this function:

Member Data Documentation

◆ m_jakes

Ptr<const JakesPropagationLossModel> ns3::JakesProcess::m_jakes
private

pointer to the propagation loss model

Definition at line 130 of file jakes-process.h.

Referenced by ConstructOscillators(), DoDispose(), and SetPropagationLossModel().

◆ m_nOscillators

unsigned int ns3::JakesProcess::m_nOscillators
private

number of oscillators

Definition at line 128 of file jakes-process.h.

Referenced by ConstructOscillators(), SetNOscillators(), and SetPropagationLossModel().

◆ m_omegaDopplerMax

double ns3::JakesProcess::m_omegaDopplerMax
private

max rotation speed Doppler frequency

Definition at line 127 of file jakes-process.h.

Referenced by ConstructOscillators(), SetDopplerFrequencyHz(), and SetPropagationLossModel().

◆ m_oscillators

std::vector<Oscillator> ns3::JakesProcess::m_oscillators
private

Vector of oscillators.

Definition at line 126 of file jakes-process.h.

Referenced by ~JakesProcess(), ConstructOscillators(), and GetComplexGain().

◆ m_uniformVariable

Ptr<UniformRandomVariable> ns3::JakesProcess::m_uniformVariable
private

random stream

Definition at line 129 of file jakes-process.h.


The documentation for this class was generated from the following files: