The normal (Gaussian) distribution Random Number Generator (RNG) that allows stream numbers to be set deterministically. More...
#include "random-variable-stream.h"
Inheritance diagram for ns3::NormalRandomVariable:
Collaboration diagram for ns3::NormalRandomVariable:Public Member Functions | |
| NormalRandomVariable () | |
| Creates a normal distribution RNG with the default values for the mean, variance, and bound. | |
| double | GetBound () const |
| Returns the bound on values that can be returned by this RNG stream. | |
| virtual uint32_t | GetInteger () |
| Get the next random value drawn from the distribution. | |
| uint32_t | GetInteger (uint32_t mean, uint32_t variance, uint32_t bound) |
| Get the next random value drawn from the distribution. | |
| double | GetMean () const |
| Returns the mean value for the normal distribution returned by this RNG stream. | |
| double | GetValue () override |
| Get the next random value drawn from the distribution. | |
| double | GetValue (double mean, double variance, double bound=NormalRandomVariable::INFINITE_VALUE) |
| Get the next random value drawn from the distribution. | |
| double | GetVariance () const |
| Returns the variance value for the normal distribution returned by this RNG stream. | |
Public Member Functions inherited from ns3::RandomVariableStream | |
| RandomVariableStream () | |
| Default constructor. | |
| RandomVariableStream (const RandomVariableStream &)=delete | |
| ~RandomVariableStream () override | |
| Destructor. | |
| int64_t | GetStream () const |
| Returns the stream number for the RngStream. | |
| bool | IsAntithetic () const |
| Check if antithetic values will be generated. | |
| RandomVariableStream & | operator= (const RandomVariableStream &)=delete |
| void | SetAntithetic (bool isAntithetic) |
| Specify whether antithetic values should be generated. | |
| void | SetStream (int64_t stream) |
| Specifies the stream number for the RngStream. | |
Public Member Functions inherited from ns3::Object | |
| Object () | |
| Constructor. | |
| ~Object () override | |
| Destructor. | |
| void | AggregateObject (Ptr< Object > other) |
| Aggregate two Objects together. | |
| void | Dispose () |
| Dispose of this Object. | |
| AggregateIterator | GetAggregateIterator () const |
| Get an iterator to the Objects aggregated to this one. | |
| TypeId | GetInstanceTypeId () const override |
| Get the most derived TypeId for this Object. | |
| template<typename T > | |
| Ptr< T > | GetObject () const |
| Get a pointer to the requested aggregated Object. | |
| template<> | |
| Ptr< Object > | GetObject () const |
| Specialization of () for objects of type ns3::Object. | |
| template<typename T > | |
| Ptr< T > | GetObject (TypeId tid) const |
| Get a pointer to the requested aggregated Object by TypeId. | |
| template<> | |
| Ptr< Object > | GetObject (TypeId tid) const |
| Specialization of (TypeId tid) for objects of type ns3::Object. | |
| void | Initialize () |
| Invoke DoInitialize on all Objects aggregated to this one. | |
| bool | IsInitialized () const |
| Check if the object has been initialized. | |
| void | UnidirectionalAggregateObject (Ptr< Object > other) |
| Aggregate an Object to another Object. | |
Public Member Functions inherited from ns3::SimpleRefCount< Object, ObjectBase, ObjectDeleter > | |
| SimpleRefCount () | |
| Default constructor. | |
| SimpleRefCount (const SimpleRefCount &o) | |
| Copy constructor. | |
| uint32_t | GetReferenceCount () const |
| Get the reference count of the object. | |
| SimpleRefCount & | operator= (const SimpleRefCount &o) |
| Assignment operator. | |
| void | Ref () const |
| Increment the reference count. | |
| void | Unref () const |
| Decrement the reference count. | |
Public Member Functions inherited from ns3::ObjectBase | |
| virtual | ~ObjectBase () |
| Virtual destructor. | |
| void | GetAttribute (std::string name, AttributeValue &value, bool permissive=false) const |
| Get the value of an attribute, raising fatal errors if unsuccessful. | |
| bool | GetAttributeFailSafe (std::string name, AttributeValue &value) const |
| Get the value of an attribute without raising errors. | |
| void | SetAttribute (std::string name, const AttributeValue &value) |
| Set a single attribute, raising fatal errors if unsuccessful. | |
| bool | SetAttributeFailSafe (std::string name, const AttributeValue &value) |
| Set a single attribute without raising errors. | |
| bool | TraceConnect (std::string name, std::string context, const CallbackBase &cb) |
| Connect a TraceSource to a Callback with a context. | |
| bool | TraceConnectWithoutContext (std::string name, const CallbackBase &cb) |
| Connect a TraceSource to a Callback without a context. | |
| bool | TraceDisconnect (std::string name, std::string context, const CallbackBase &cb) |
| Disconnect from a TraceSource a Callback previously connected with a context. | |
| bool | TraceDisconnectWithoutContext (std::string name, const CallbackBase &cb) |
| Disconnect from a TraceSource a Callback previously connected without a context. | |
Static Public Member Functions | |
| static TypeId | GetTypeId () |
| Register this type. | |
Static Public Member Functions inherited from ns3::RandomVariableStream | |
| static TypeId | GetTypeId () |
| Register this type. | |
Static Public Member Functions inherited from ns3::Object | |
| static TypeId | GetTypeId () |
| Register this type. | |
Static Public Member Functions inherited from ns3::ObjectBase | |
| static TypeId | GetTypeId () |
| Get the type ID. | |
Static Public Attributes | |
| static const double | INFINITE_VALUE = 1e307 |
| Large constant to bound the range. | |
Private Attributes | |
| double | m_bound |
| The bound on values that can be returned by this RNG stream. | |
| double | m_mean |
| The mean value for the normal distribution returned by this RNG stream. | |
| bool | m_nextValid |
| True if the next value is valid. | |
| double | m_v2 |
| The algorithm produces two values at a time. | |
| double | m_variance |
| The variance value for the normal distribution returned by this RNG stream. | |
| double | m_y |
| The algorithm produces two values at a time. | |
Additional Inherited Members | |
Protected Member Functions inherited from ns3::RandomVariableStream | |
| RngStream * | Peek () const |
| Get the pointer to the underlying RngStream. | |
Protected Member Functions inherited from ns3::Object | |
| Object (const Object &o) | |
| Copy an Object. | |
| virtual void | DoDispose () |
| Destructor implementation. | |
| virtual void | DoInitialize () |
| Initialize() implementation. | |
| virtual void | NotifyNewAggregate () |
| Notify all Objects aggregated to this one of a new Object being aggregated. | |
Protected Member Functions inherited from ns3::ObjectBase | |
| void | ConstructSelf (const AttributeConstructionList &attributes) |
| Complete construction of ObjectBase; invoked by derived classes. | |
| virtual void | NotifyConstructionCompleted () |
| Notifier called once the ObjectBase is fully constructed. | |
Related Symbols inherited from ns3::ObjectBase | |
| static TypeId | GetObjectIid () |
| Ensure the TypeId for ObjectBase gets fully configured to anchor the inheritance tree properly. | |
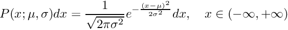
The normal (Gaussian) distribution Random Number Generator (RNG) that allows stream numbers to be set deterministically.
This class supports the creation of objects that return random numbers from a fixed normal distribution. It also supports the generation of single random numbers from various normal distributions.
The probability density function is:
![\[
P(x; \mu, \sigma) dx = \frac{1}{\sqrt{2\pi\sigma^2}}
e^{-\frac{(x-\mu)^2}{2\sigma^2}} dx, \\
\quad x \in (-\infty, +\infty)
\]](../../form_49.png)
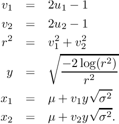
where the Mean is given by 
Variance is 
If 




Note this algorithm consumes two uniform random values and produces two normally distributed values. The implementation used here caches 


Since normal distributions can theoretically return unbounded values, it is sometimes useful to specify a fixed bound. The NormalRandomVariable is bounded symmetrically about the mean by the Bound parameter, 
![$[\mu - b, \mu + b]$](../../form_59.png)
Here is an example of how to use this class:
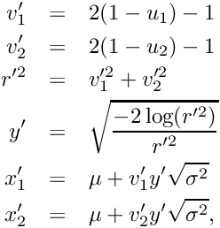
If an instance of this RNG is configured to return antithetic values, the actual values returned, 


which now involves the distances 

ns3::NormalRandomVariable is accessible through the following paths with Config::Set and Config::Connect:
No TraceSources are defined for this type.
Group: Core
Size of this type is 128 bytes (on a 64-bit architecture).
Definition at line 971 of file random-variable-stream.h.
| ns3::NormalRandomVariable::NormalRandomVariable | ( | ) |
Creates a normal distribution RNG with the default values for the mean, variance, and bound.
Definition at line 684 of file random-variable-stream.cc.
References NS_LOG_FUNCTION.
| double ns3::NormalRandomVariable::GetBound | ( | ) | const |
Returns the bound on values that can be returned by this RNG stream.
Definition at line 705 of file random-variable-stream.cc.
References m_bound.
|
virtual |
Get the next random value drawn from the distribution.
Reimplemented from ns3::RandomVariableStream.
Definition at line 144 of file random-variable-stream.cc.
Get the next random value drawn from the distribution.
| [in] | mean | Mean value for the normal distribution. |
| [in] | variance | Variance value for the normal distribution. |
| [in] | bound | Bound on values returned. |
Definition at line 767 of file random-variable-stream.cc.
References ns3::Create(), ns3::RandomVariableStream::GetStream(), GetValue(), and NS_LOG_DEBUG.
Here is the call graph for this function:| double ns3::NormalRandomVariable::GetMean | ( | ) | const |
Returns the mean value for the normal distribution returned by this RNG stream.
Definition at line 693 of file random-variable-stream.cc.
References m_mean.
|
static |
Register this type.
Definition at line 658 of file random-variable-stream.cc.
References ns3::Create(), INFINITE_VALUE, m_bound, m_mean, m_variance, ns3::MakeDoubleAccessor(), and ns3::TypeId::SetParent().
Here is the call graph for this function:
|
overridevirtual |
Get the next random value drawn from the distribution.
Implements ns3::RandomVariableStream.
Definition at line 776 of file random-variable-stream.cc.
References GetValue(), m_bound, m_mean, and m_variance.
Referenced by GetInteger(), and GetValue().
Here is the call graph for this function:
Here is the caller graph for this function:| double ns3::NormalRandomVariable::GetValue | ( | double | mean, |
| double | variance, | ||
| double | bound = NormalRandomVariable::INFINITE_VALUE |
||
| ) |
Get the next random value drawn from the distribution.
| [in] | mean | Mean value for the normal distribution. |
| [in] | variance | Variance value for the normal distribution. |
| [in] | bound | Bound on values returned. |
Definition at line 711 of file random-variable-stream.cc.
References ns3::Create(), ns3::RandomVariableStream::GetStream(), ns3::RandomVariableStream::IsAntithetic(), m_nextValid, m_v2, m_y, NS_LOG_DEBUG, ns3::RandomVariableStream::Peek(), and ns3::RngStream::RandU01().
Here is the call graph for this function:| double ns3::NormalRandomVariable::GetVariance | ( | ) | const |
Returns the variance value for the normal distribution returned by this RNG stream.
Definition at line 699 of file random-variable-stream.cc.
References m_variance.
Large constant to bound the range.
Definition at line 975 of file random-variable-stream.h.
Referenced by GetTypeId(), and ns3::GammaRandomVariable::GetValue().
|
private |
The bound on values that can be returned by this RNG stream.
Definition at line 1032 of file random-variable-stream.h.
Referenced by GetBound(), GetTypeId(), and GetValue().
|
private |
The mean value for the normal distribution returned by this RNG stream.
Definition at line 1026 of file random-variable-stream.h.
Referenced by GetMean(), GetTypeId(), and GetValue().
|
private |
True if the next value is valid.
Definition at line 1035 of file random-variable-stream.h.
Referenced by GetValue().
|
private |
The algorithm produces two values at a time.
Cache parameters for possible reuse.
Definition at line 1038 of file random-variable-stream.h.
Referenced by GetValue().
|
private |
The variance value for the normal distribution returned by this RNG stream.
Definition at line 1029 of file random-variable-stream.h.
Referenced by GetTypeId(), GetValue(), and GetVariance().
|
private |
The algorithm produces two values at a time.
Cache parameters for possible reuse.
Definition at line 1040 of file random-variable-stream.h.
Referenced by GetValue().