The triangular distribution Random Number Generator (RNG) that allows stream numbers to be set deterministically. More...
#include "random-variable-stream.h"
Inheritance diagram for ns3::TriangularRandomVariable:
Collaboration diagram for ns3::TriangularRandomVariable:Public Member Functions | |
| TriangularRandomVariable () | |
| Creates a triangular distribution RNG with the default values for the mean, lower bound, and upper bound. | |
| virtual uint32_t | GetInteger () |
| Get the next random value drawn from the distribution. | |
| uint32_t | GetInteger (uint32_t mean, uint32_t min, uint32_t max) |
| Get the next random value drawn from the distribution. | |
| double | GetMax () const |
| Returns the upper bound on values that can be returned by this RNG stream. | |
| double | GetMean () const |
| Returns the mean value for the triangular distribution returned by this RNG stream. | |
| double | GetMin () const |
| Returns the lower bound for the triangular distribution returned by this RNG stream. | |
| double | GetValue () override |
| Get the next random value drawn from the distribution. | |
| double | GetValue (double mean, double min, double max) |
| Get the next random value drawn from the distribution. | |
Public Member Functions inherited from ns3::RandomVariableStream | |
| RandomVariableStream () | |
| Default constructor. | |
| RandomVariableStream (const RandomVariableStream &)=delete | |
| ~RandomVariableStream () override | |
| Destructor. | |
| int64_t | GetStream () const |
| Returns the stream number for the RngStream. | |
| bool | IsAntithetic () const |
| Check if antithetic values will be generated. | |
| RandomVariableStream & | operator= (const RandomVariableStream &)=delete |
| void | SetAntithetic (bool isAntithetic) |
| Specify whether antithetic values should be generated. | |
| void | SetStream (int64_t stream) |
| Specifies the stream number for the RngStream. | |
Public Member Functions inherited from ns3::Object | |
| Object () | |
| Constructor. | |
| ~Object () override | |
| Destructor. | |
| void | AggregateObject (Ptr< Object > other) |
| Aggregate two Objects together. | |
| void | Dispose () |
| Dispose of this Object. | |
| AggregateIterator | GetAggregateIterator () const |
| Get an iterator to the Objects aggregated to this one. | |
| TypeId | GetInstanceTypeId () const override |
| Get the most derived TypeId for this Object. | |
| template<typename T > | |
| Ptr< T > | GetObject () const |
| Get a pointer to the requested aggregated Object. | |
| template<> | |
| Ptr< Object > | GetObject () const |
| Specialization of () for objects of type ns3::Object. | |
| template<typename T > | |
| Ptr< T > | GetObject (TypeId tid) const |
| Get a pointer to the requested aggregated Object by TypeId. | |
| template<> | |
| Ptr< Object > | GetObject (TypeId tid) const |
| Specialization of (TypeId tid) for objects of type ns3::Object. | |
| void | Initialize () |
| Invoke DoInitialize on all Objects aggregated to this one. | |
| bool | IsInitialized () const |
| Check if the object has been initialized. | |
| void | UnidirectionalAggregateObject (Ptr< Object > other) |
| Aggregate an Object to another Object. | |
Public Member Functions inherited from ns3::SimpleRefCount< Object, ObjectBase, ObjectDeleter > | |
| SimpleRefCount () | |
| Default constructor. | |
| SimpleRefCount (const SimpleRefCount &o) | |
| Copy constructor. | |
| uint32_t | GetReferenceCount () const |
| Get the reference count of the object. | |
| SimpleRefCount & | operator= (const SimpleRefCount &o) |
| Assignment operator. | |
| void | Ref () const |
| Increment the reference count. | |
| void | Unref () const |
| Decrement the reference count. | |
Public Member Functions inherited from ns3::ObjectBase | |
| virtual | ~ObjectBase () |
| Virtual destructor. | |
| void | GetAttribute (std::string name, AttributeValue &value, bool permissive=false) const |
| Get the value of an attribute, raising fatal errors if unsuccessful. | |
| bool | GetAttributeFailSafe (std::string name, AttributeValue &value) const |
| Get the value of an attribute without raising errors. | |
| void | SetAttribute (std::string name, const AttributeValue &value) |
| Set a single attribute, raising fatal errors if unsuccessful. | |
| bool | SetAttributeFailSafe (std::string name, const AttributeValue &value) |
| Set a single attribute without raising errors. | |
| bool | TraceConnect (std::string name, std::string context, const CallbackBase &cb) |
| Connect a TraceSource to a Callback with a context. | |
| bool | TraceConnectWithoutContext (std::string name, const CallbackBase &cb) |
| Connect a TraceSource to a Callback without a context. | |
| bool | TraceDisconnect (std::string name, std::string context, const CallbackBase &cb) |
| Disconnect from a TraceSource a Callback previously connected with a context. | |
| bool | TraceDisconnectWithoutContext (std::string name, const CallbackBase &cb) |
| Disconnect from a TraceSource a Callback previously connected without a context. | |
Static Public Member Functions | |
| static TypeId | GetTypeId () |
| Register this type. | |
Static Public Member Functions inherited from ns3::RandomVariableStream | |
| static TypeId | GetTypeId () |
| Register this type. | |
Static Public Member Functions inherited from ns3::Object | |
| static TypeId | GetTypeId () |
| Register this type. | |
Static Public Member Functions inherited from ns3::ObjectBase | |
| static TypeId | GetTypeId () |
| Get the type ID. | |
Private Attributes | |
| double | m_max |
| The upper bound on values that can be returned by this RNG stream. | |
| double | m_mean |
| The mean value for the triangular distribution returned by this RNG stream. | |
| double | m_min |
| The lower bound on values that can be returned by this RNG stream. | |
Additional Inherited Members | |
Protected Member Functions inherited from ns3::RandomVariableStream | |
| RngStream * | Peek () const |
| Get the pointer to the underlying RngStream. | |
Protected Member Functions inherited from ns3::Object | |
| Object (const Object &o) | |
| Copy an Object. | |
| virtual void | DoDispose () |
| Destructor implementation. | |
| virtual void | DoInitialize () |
| Initialize() implementation. | |
| virtual void | NotifyNewAggregate () |
| Notify all Objects aggregated to this one of a new Object being aggregated. | |
Protected Member Functions inherited from ns3::ObjectBase | |
| void | ConstructSelf (const AttributeConstructionList &attributes) |
| Complete construction of ObjectBase; invoked by derived classes. | |
| virtual void | NotifyConstructionCompleted () |
| Notifier called once the ObjectBase is fully constructed. | |
Related Symbols inherited from ns3::ObjectBase | |
| static TypeId | GetObjectIid () |
| Ensure the TypeId for ObjectBase gets fully configured to anchor the inheritance tree properly. | |
The triangular distribution Random Number Generator (RNG) that allows stream numbers to be set deterministically.
This class supports the creation of objects that return random numbers from a fixed triangular distribution. It also supports the generation of single random numbers from various triangular distributions.
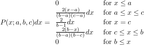
The probability density depends on three parameters, the end points 
Min and 
Max, and the location of the peak or mode, 
Mean, 
Mean, the mode is 
The probability is in the shape of a triangle defined on the interval ![$ x \in [a, b] $](../../form_97.png)
![\[
P(x; a, b, c) dx = \begin{array}{ll}
0 &\mbox{ for $x \le a$} \\
\frac{2(x - a)}{(b - a)(c - a)} dx &\mbox{ for $a \le x \le c$} \\
\frac{2}{b - 1} dx &\mbox{ for $x = c$} \\
\frac{2(b - x)}{(b - a)(b - c)} dx &\mbox{ for $c \le x \le b$} \\
0 &\mbox{ for $b \le x$}
\end{array}
\]](../../form_98.png)
The triangle RNG 
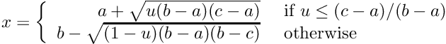
![\[
x = \left\{ \begin{array}{rl}
a + \sqrt{u (b - a) (c - a)} &\mbox{ if $u \le (c - a)/(b - a)$} \\
b - \sqrt{(1 - u) (b - a) (b - c) } &\mbox{ otherwise}
\end{array}
\right.
\]](../../form_99.png)
where 
Here is an example of how to use this class:
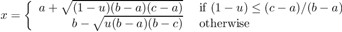
If an instance of this RNG is configured to return antithetic values, the actual value returned, 
![\[
x = \left\{ \begin{array}{rl}
a + \sqrt{(1 - u) (b - a) (c - a)} &\mbox{ if $(1 - u) \le (c - a)/(b - a)$} \\
b - \sqrt{u (b - a) (b - c) } &\mbox{ otherwise}
\end{array}
\right.
\]](../../form_100.png)
which now involves the distance 
ns3::TriangularRandomVariable is accessible through the following paths with Config::Set and Config::Connect:
No TraceSources are defined for this type.
Group: Core
Size of this type is 104 bytes (on a 64-bit architecture).
Definition at line 1511 of file random-variable-stream.h.
| ns3::TriangularRandomVariable::TriangularRandomVariable | ( | ) |
Creates a triangular distribution RNG with the default values for the mean, lower bound, and upper bound.
Definition at line 1222 of file random-variable-stream.cc.
References NS_LOG_FUNCTION.
|
virtual |
Get the next random value drawn from the distribution.
Reimplemented from ns3::RandomVariableStream.
Definition at line 144 of file random-variable-stream.cc.
Get the next random value drawn from the distribution.
| [in] | mean | Mean value for the triangular distribution. |
| [in] | min | Low end of the range. |
| [in] | max | High end of the range. |
Definition at line 1278 of file random-variable-stream.cc.
References ns3::Create(), ns3::RandomVariableStream::GetStream(), GetValue(), and NS_LOG_DEBUG.
Here is the call graph for this function:| double ns3::TriangularRandomVariable::GetMax | ( | ) | const |
Returns the upper bound on values that can be returned by this RNG stream.
Definition at line 1242 of file random-variable-stream.cc.
References m_max.
| double ns3::TriangularRandomVariable::GetMean | ( | ) | const |
Returns the mean value for the triangular distribution returned by this RNG stream.
Definition at line 1230 of file random-variable-stream.cc.
References m_mean.
| double ns3::TriangularRandomVariable::GetMin | ( | ) | const |
Returns the lower bound for the triangular distribution returned by this RNG stream.
Definition at line 1236 of file random-variable-stream.cc.
References m_min.
|
static |
Register this type.
Definition at line 1196 of file random-variable-stream.cc.
References ns3::Create(), m_max, m_mean, m_min, ns3::MakeDoubleAccessor(), and ns3::TypeId::SetParent().
Here is the call graph for this function:
|
overridevirtual |
Get the next random value drawn from the distribution.
Implements ns3::RandomVariableStream.
Definition at line 1287 of file random-variable-stream.cc.
References GetValue(), m_max, m_mean, and m_min.
Referenced by GetInteger(), and GetValue().
Here is the call graph for this function:
Here is the caller graph for this function:Get the next random value drawn from the distribution.
| [in] | mean | Mean value for the triangular distribution. |
| [in] | min | Low end of the range. |
| [in] | max | High end of the range. |
Definition at line 1248 of file random-variable-stream.cc.
References ns3::Create(), ns3::RandomVariableStream::GetStream(), ns3::RandomVariableStream::IsAntithetic(), NS_LOG_DEBUG, ns3::RandomVariableStream::Peek(), and ns3::RngStream::RandU01().
Here is the call graph for this function:
|
private |
The upper bound on values that can be returned by this RNG stream.
Definition at line 1567 of file random-variable-stream.h.
Referenced by GetMax(), GetTypeId(), and GetValue().
|
private |
The mean value for the triangular distribution returned by this RNG stream.
Definition at line 1561 of file random-variable-stream.h.
Referenced by GetMean(), GetTypeId(), and GetValue().
|
private |
The lower bound on values that can be returned by this RNG stream.
Definition at line 1564 of file random-variable-stream.h.
Referenced by GetMin(), GetTypeId(), and GetValue().