The log-normal distribution Random Number Generator (RNG) that allows stream numbers to be set deterministically. More...
#include "random-variable-stream.h"
Inheritance diagram for ns3::LogNormalRandomVariable:
Collaboration diagram for ns3::LogNormalRandomVariable:Public Member Functions | |
| LogNormalRandomVariable () | |
| Creates a log-normal distribution RNG with the default values for mu and sigma. | |
| virtual uint32_t | GetInteger () |
| Get the next random value drawn from the distribution. | |
| uint32_t | GetInteger (uint32_t mu, uint32_t sigma) |
| Get the next random value drawn from the distribution. | |
| double | GetMu () const |
| Returns the mu value for the log-normal distribution returned by this RNG stream. | |
| double | GetSigma () const |
| Returns the sigma value for the log-normal distribution returned by this RNG stream. | |
| double | GetValue () override |
| Get the next random value drawn from the distribution. | |
| double | GetValue (double mu, double sigma) |
| Get the next random value drawn from the distribution. | |
Public Member Functions inherited from ns3::RandomVariableStream | |
| RandomVariableStream () | |
| Default constructor. | |
| RandomVariableStream (const RandomVariableStream &)=delete | |
| ~RandomVariableStream () override | |
| Destructor. | |
| int64_t | GetStream () const |
| Returns the stream number for the RngStream. | |
| bool | IsAntithetic () const |
| Check if antithetic values will be generated. | |
| RandomVariableStream & | operator= (const RandomVariableStream &)=delete |
| void | SetAntithetic (bool isAntithetic) |
| Specify whether antithetic values should be generated. | |
| void | SetStream (int64_t stream) |
| Specifies the stream number for the RngStream. | |
Public Member Functions inherited from ns3::Object | |
| Object () | |
| Constructor. | |
| ~Object () override | |
| Destructor. | |
| void | AggregateObject (Ptr< Object > other) |
| Aggregate two Objects together. | |
| void | Dispose () |
| Dispose of this Object. | |
| AggregateIterator | GetAggregateIterator () const |
| Get an iterator to the Objects aggregated to this one. | |
| TypeId | GetInstanceTypeId () const override |
| Get the most derived TypeId for this Object. | |
| template<typename T > | |
| Ptr< T > | GetObject () const |
| Get a pointer to the requested aggregated Object. | |
| template<> | |
| Ptr< Object > | GetObject () const |
| Specialization of () for objects of type ns3::Object. | |
| template<typename T > | |
| Ptr< T > | GetObject (TypeId tid) const |
| Get a pointer to the requested aggregated Object by TypeId. | |
| template<> | |
| Ptr< Object > | GetObject (TypeId tid) const |
| Specialization of (TypeId tid) for objects of type ns3::Object. | |
| void | Initialize () |
| Invoke DoInitialize on all Objects aggregated to this one. | |
| bool | IsInitialized () const |
| Check if the object has been initialized. | |
| void | UnidirectionalAggregateObject (Ptr< Object > other) |
| Aggregate an Object to another Object. | |
Public Member Functions inherited from ns3::SimpleRefCount< Object, ObjectBase, ObjectDeleter > | |
| SimpleRefCount () | |
| Default constructor. | |
| SimpleRefCount (const SimpleRefCount &o) | |
| Copy constructor. | |
| uint32_t | GetReferenceCount () const |
| Get the reference count of the object. | |
| SimpleRefCount & | operator= (const SimpleRefCount &o) |
| Assignment operator. | |
| void | Ref () const |
| Increment the reference count. | |
| void | Unref () const |
| Decrement the reference count. | |
Public Member Functions inherited from ns3::ObjectBase | |
| virtual | ~ObjectBase () |
| Virtual destructor. | |
| void | GetAttribute (std::string name, AttributeValue &value, bool permissive=false) const |
| Get the value of an attribute, raising fatal errors if unsuccessful. | |
| bool | GetAttributeFailSafe (std::string name, AttributeValue &value) const |
| Get the value of an attribute without raising errors. | |
| void | SetAttribute (std::string name, const AttributeValue &value) |
| Set a single attribute, raising fatal errors if unsuccessful. | |
| bool | SetAttributeFailSafe (std::string name, const AttributeValue &value) |
| Set a single attribute without raising errors. | |
| bool | TraceConnect (std::string name, std::string context, const CallbackBase &cb) |
| Connect a TraceSource to a Callback with a context. | |
| bool | TraceConnectWithoutContext (std::string name, const CallbackBase &cb) |
| Connect a TraceSource to a Callback without a context. | |
| bool | TraceDisconnect (std::string name, std::string context, const CallbackBase &cb) |
| Disconnect from a TraceSource a Callback previously connected with a context. | |
| bool | TraceDisconnectWithoutContext (std::string name, const CallbackBase &cb) |
| Disconnect from a TraceSource a Callback previously connected without a context. | |
Static Public Member Functions | |
| static TypeId | GetTypeId () |
| Register this type. | |
Static Public Member Functions inherited from ns3::RandomVariableStream | |
| static TypeId | GetTypeId () |
| Register this type. | |
Static Public Member Functions inherited from ns3::Object | |
| static TypeId | GetTypeId () |
| Register this type. | |
Static Public Member Functions inherited from ns3::ObjectBase | |
| static TypeId | GetTypeId () |
| Get the type ID. | |
Private Attributes | |
| double | m_mu |
| The mu value for the log-normal distribution returned by this RNG stream. | |
| bool | m_nextValid |
| True if m_normal is valid. | |
| double | m_normal |
| The algorithm produces two values at a time. | |
| double | m_sigma |
| The sigma value for the log-normal distribution returned by this RNG stream. | |
| double | m_v2 |
| The algorithm produces two values at a time. | |
Additional Inherited Members | |
Protected Member Functions inherited from ns3::RandomVariableStream | |
| RngStream * | Peek () const |
| Get the pointer to the underlying RngStream. | |
Protected Member Functions inherited from ns3::Object | |
| Object (const Object &o) | |
| Copy an Object. | |
| virtual void | DoDispose () |
| Destructor implementation. | |
| virtual void | DoInitialize () |
| Initialize() implementation. | |
| virtual void | NotifyNewAggregate () |
| Notify all Objects aggregated to this one of a new Object being aggregated. | |
Protected Member Functions inherited from ns3::ObjectBase | |
| void | ConstructSelf (const AttributeConstructionList &attributes) |
| Complete construction of ObjectBase; invoked by derived classes. | |
| virtual void | NotifyConstructionCompleted () |
| Notifier called once the ObjectBase is fully constructed. | |
Related Symbols inherited from ns3::ObjectBase | |
| static TypeId | GetObjectIid () |
| Ensure the TypeId for ObjectBase gets fully configured to anchor the inheritance tree properly. | |
The log-normal distribution Random Number Generator (RNG) that allows stream numbers to be set deterministically.
This class supports the creation of objects that return random numbers from a fixed log-normal distribution. It also supports the generation of single random numbers from various log-normal distributions. If one takes the natural logarithm of a random variable following the log-normal distribution, the obtained values follow a normal distribution.
The probability density function is defined using two parameters Mu = 
Sigma = 
![\[
P(x; \mu, \sigma) dx = \frac{1}{x\sqrt{2\pi\sigma^2}}
e^{-\frac{(ln(x) - \mu)^2}{2\sigma^2}} dx, \\
\quad x \in [0, +\infty)
\]](../../form_64.png)
The distribution has mean value
![\[
\langle x | P(x; \mu, \sigma) \rangle = e^{\mu+\frac{\sigma^2}{2}}
\]](../../form_65.png)
and variance
![\[
var(x) = (e^{\sigma^2}-1)e^{2\mu+\sigma^2}
\]](../../form_66.png)
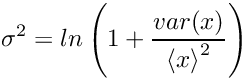
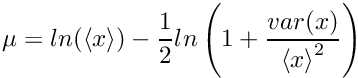
Note these are the mean and variance of the log-normal distribution, not the Mu or Sigma configuration variables.
If the desired mean and variance are known the 

![\[
\mu = ln(\langle x \rangle) - \\
\frac{1}{2}ln\left(1+\frac{var(x)}{{\langle x \rangle}^2}\right)
\]](../../form_67.png)
and
![\[
\sigma^2 = ln\left(1+\frac{var(x)}{{\langle x \rangle}^2}\right)
\]](../../form_68.png)
If 



Here is an example of how to use this class:
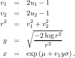
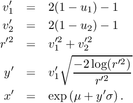
If an instance of this RNG is configured to return antithetic values, the actual value returned, 

which now involves the distances 

ns3::LogNormalRandomVariable is accessible through the following paths with Config::Set and Config::Connect:
No TraceSources are defined for this type.
Group: Core
Size of this type is 120 bytes (on a 64-bit architecture).
Definition at line 1134 of file random-variable-stream.h.
| ns3::LogNormalRandomVariable::LogNormalRandomVariable | ( | ) |
Creates a log-normal distribution RNG with the default values for mu and sigma.
Definition at line 806 of file random-variable-stream.cc.
References NS_LOG_FUNCTION.
|
virtual |
Get the next random value drawn from the distribution.
Reimplemented from ns3::RandomVariableStream.
Definition at line 144 of file random-variable-stream.cc.
Get the next random value drawn from the distribution.
| [in] | mu | Mu value for the log-normal distribution. |
| [in] | sigma | Sigma value for the log-normal distribution. |
Definition at line 890 of file random-variable-stream.cc.
References ns3::Create(), ns3::RandomVariableStream::GetStream(), GetValue(), and NS_LOG_DEBUG.
Here is the call graph for this function:| double ns3::LogNormalRandomVariable::GetMu | ( | ) | const |
Returns the mu value for the log-normal distribution returned by this RNG stream.
Definition at line 815 of file random-variable-stream.cc.
References m_mu.
| double ns3::LogNormalRandomVariable::GetSigma | ( | ) | const |
Returns the sigma value for the log-normal distribution returned by this RNG stream.
Definition at line 821 of file random-variable-stream.cc.
References m_sigma.
|
static |
Register this type.
Definition at line 784 of file random-variable-stream.cc.
References ns3::Create(), m_mu, m_sigma, ns3::MakeDoubleAccessor(), and ns3::TypeId::SetParent().
Here is the call graph for this function:
|
overridevirtual |
Get the next random value drawn from the distribution.
Implements ns3::RandomVariableStream.
Definition at line 899 of file random-variable-stream.cc.
References GetValue(), m_mu, and m_sigma.
Referenced by GetInteger(), and GetValue().
Here is the call graph for this function:
Here is the caller graph for this function:Get the next random value drawn from the distribution.
| [in] | mu | Mu value for the log-normal distribution. |
| [in] | sigma | Sigma value for the log-normal distribution. |
Definition at line 841 of file random-variable-stream.cc.
References ns3::Create(), ns3::RandomVariableStream::GetStream(), ns3::RandomVariableStream::IsAntithetic(), m_nextValid, m_normal, m_v2, ns3::normal, NS_LOG_DEBUG, ns3::RandomVariableStream::Peek(), and ns3::RngStream::RandU01().
Here is the call graph for this function:
|
private |
The mu value for the log-normal distribution returned by this RNG stream.
Definition at line 1177 of file random-variable-stream.h.
Referenced by GetMu(), GetTypeId(), and GetValue().
|
private |
True if m_normal is valid.
Definition at line 1183 of file random-variable-stream.h.
Referenced by GetValue().
|
private |
The algorithm produces two values at a time.
Cache parameters for possible reuse.
Definition at line 1189 of file random-variable-stream.h.
Referenced by GetValue().
|
private |
The sigma value for the log-normal distribution returned by this RNG stream.
Definition at line 1180 of file random-variable-stream.h.
Referenced by GetSigma(), GetTypeId(), and GetValue().
|
private |
The algorithm produces two values at a time.
Cache parameters for possible reuse.
Definition at line 1186 of file random-variable-stream.h.
Referenced by GetValue().